Skip to main content Skip to search Skip to main navigation

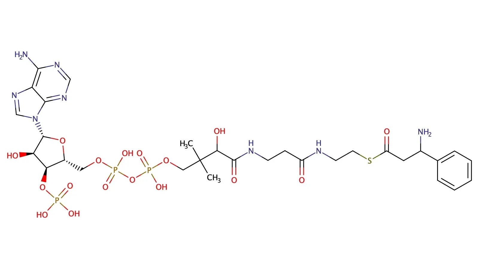
ß-Phenylalanin-Coenzyme A

Product information "ß-Phenylalanin-Coenzyme A"

Available in different salt formats on request.
Properties "ß-Phenylalanin-Coenzyme A"
CAS: noch nicht erhältlich
Formel: C30H45N8O17P3S
MCC: MCC6966
Mol Gewicht: 914,71