Zum Hauptinhalt springen Zur Suche springen Zur Hauptnavigation springen

Info Bitte beachten Sie, dass wir uns in der Zeit vom 19.12. bis 05.01. im Betriebsurlaub befinden

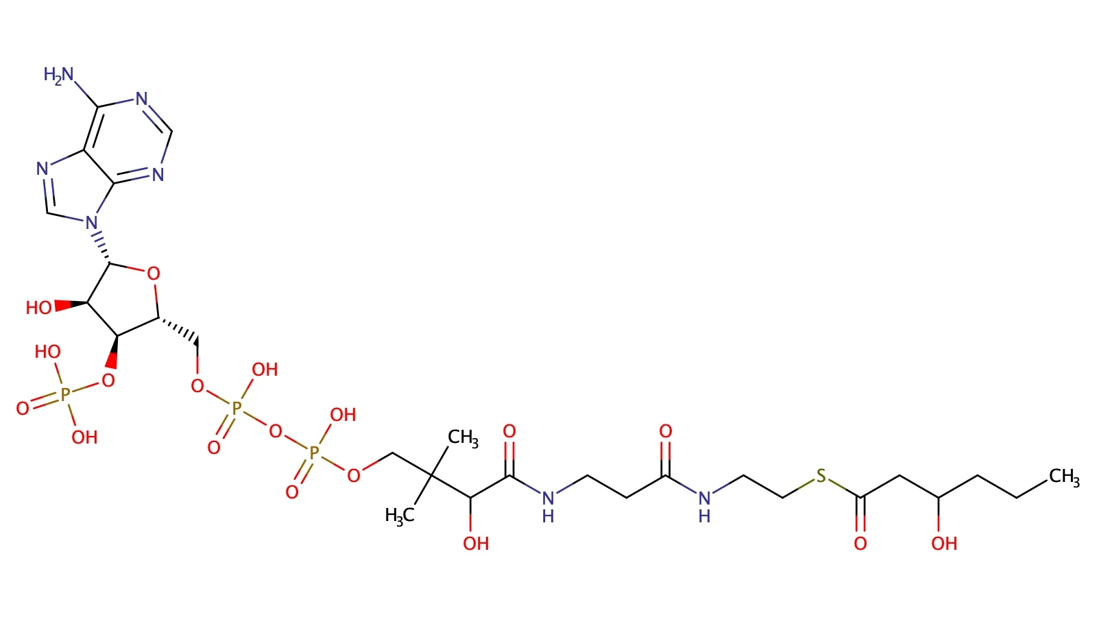
3-hydroxyhexanoyl-Coenzyme A

Auf Anfrage in verschiedenen Salzformaten erhältlich.
CAS: noch nicht erhältlich
Formel: C27H46N7O18P3S
MCC: MCC7935
Mol Gewicht: 881,68