Zum Hauptinhalt springen Zur Suche springen Zur Hauptnavigation springen

Info Bitte beachten Sie, dass wir uns in der Zeit vom 19.12. bis 05.01. im Betriebsurlaub befinden

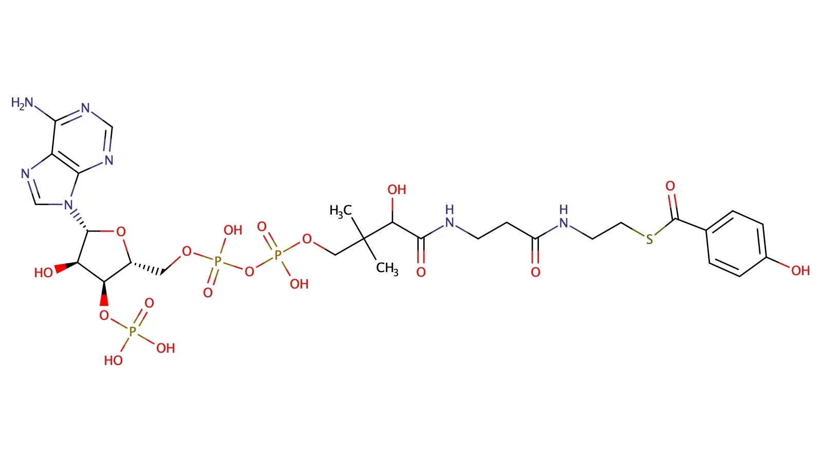
4-hydroxybenzoyl-Coenzyme A

Auf Anfrage in verschiedenen Salzformaten erhältlich.
CAS: 27718-41-8
Formel: C28H40N7O18P3S
MCC: MCC8639
Mol Gewicht: 887,64