Zum Hauptinhalt springen Zur Suche springen Zur Hauptnavigation springen

Info Bitte beachten Sie, dass wir uns in der Zeit vom 19.12. bis 05.01. im Betriebsurlaub befinden

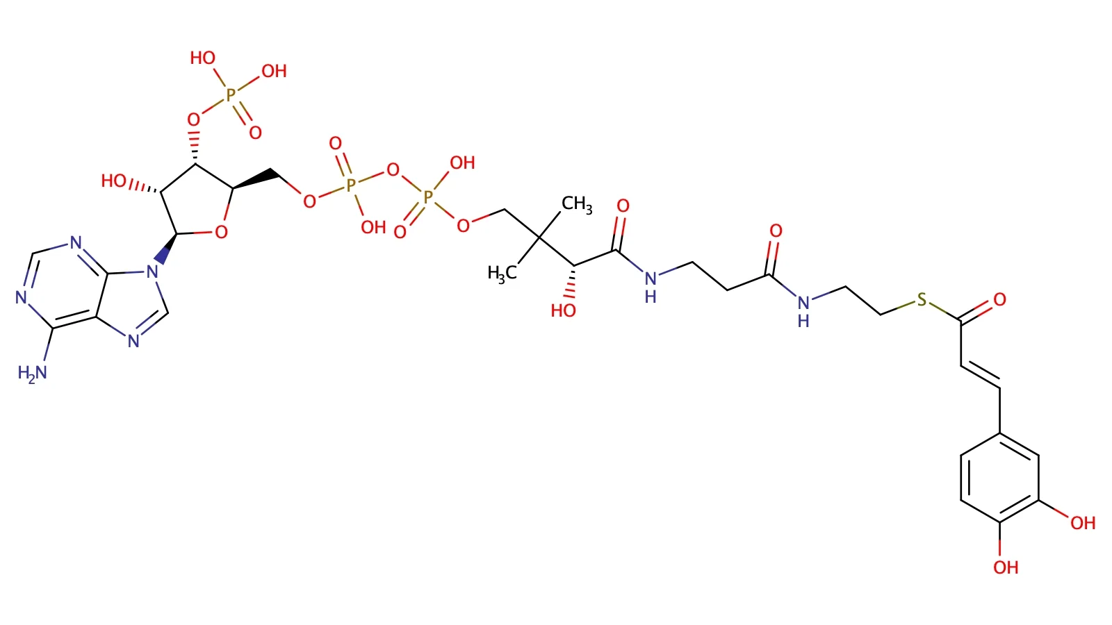
Caffeoyl-Coenzym A

Auf Anfrage in verschiedenen Salzformaten erhältlich.
CAS: 1021913-49-4
Formel: C30H42N7O19P3S
MCC: MCC5021
Mol Gewicht: 929,68