Zum Hauptinhalt springen Zur Suche springen Zur Hauptnavigation springen

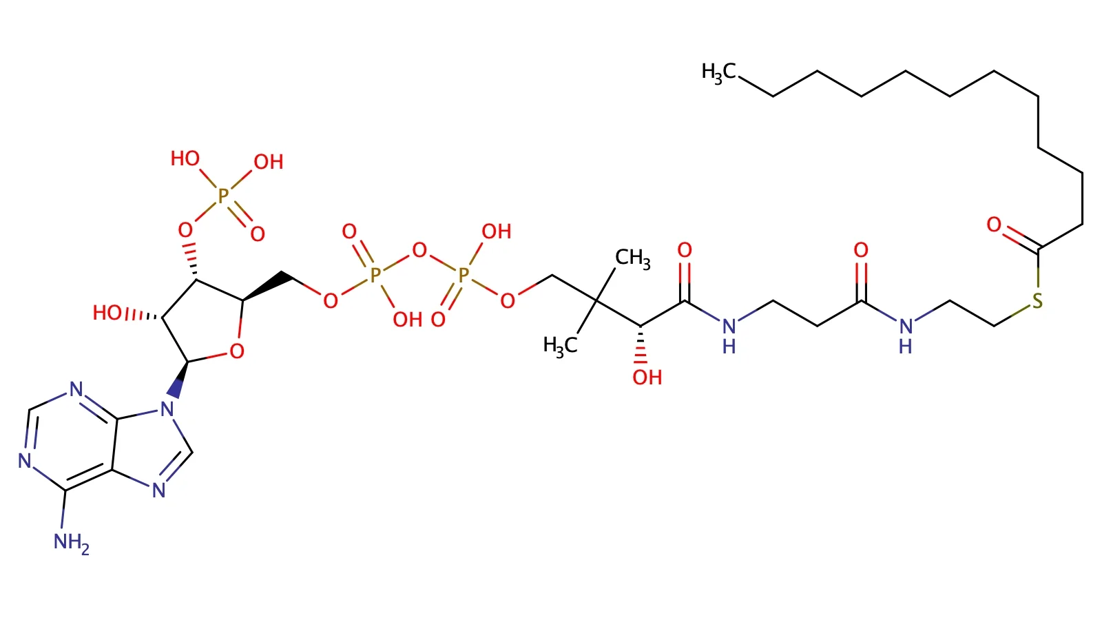
Lauroyl Coenzyme A (Lithium Salt)

Auf Anfrage in verschiedenen Salzformaten erhältlich.
CAS: 190063-12-8
Formel: C33H58N7O17P3S
MCC: MCC8366
Mol Gewicht: 949,84