Skip to main content Skip to search Skip to main navigation

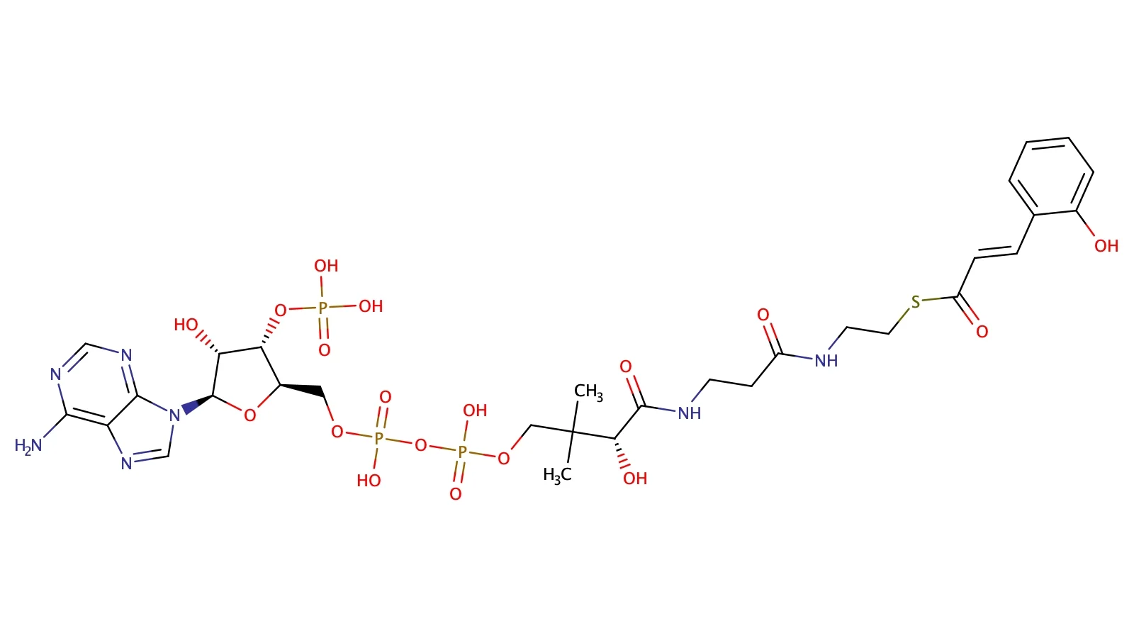
o-Coumaryl-Coenzyme A

Product information "o-Coumaryl-Coenzyme A"

Available in different salt formats on request.
Properties "o-Coumaryl-Coenzyme A"
CAS: noch nicht erhältlich
Formel: C30H42N7O18P3S
MCC: MCC8271
Mol Gewicht: 913,68