Skip to main content Skip to search Skip to main navigation

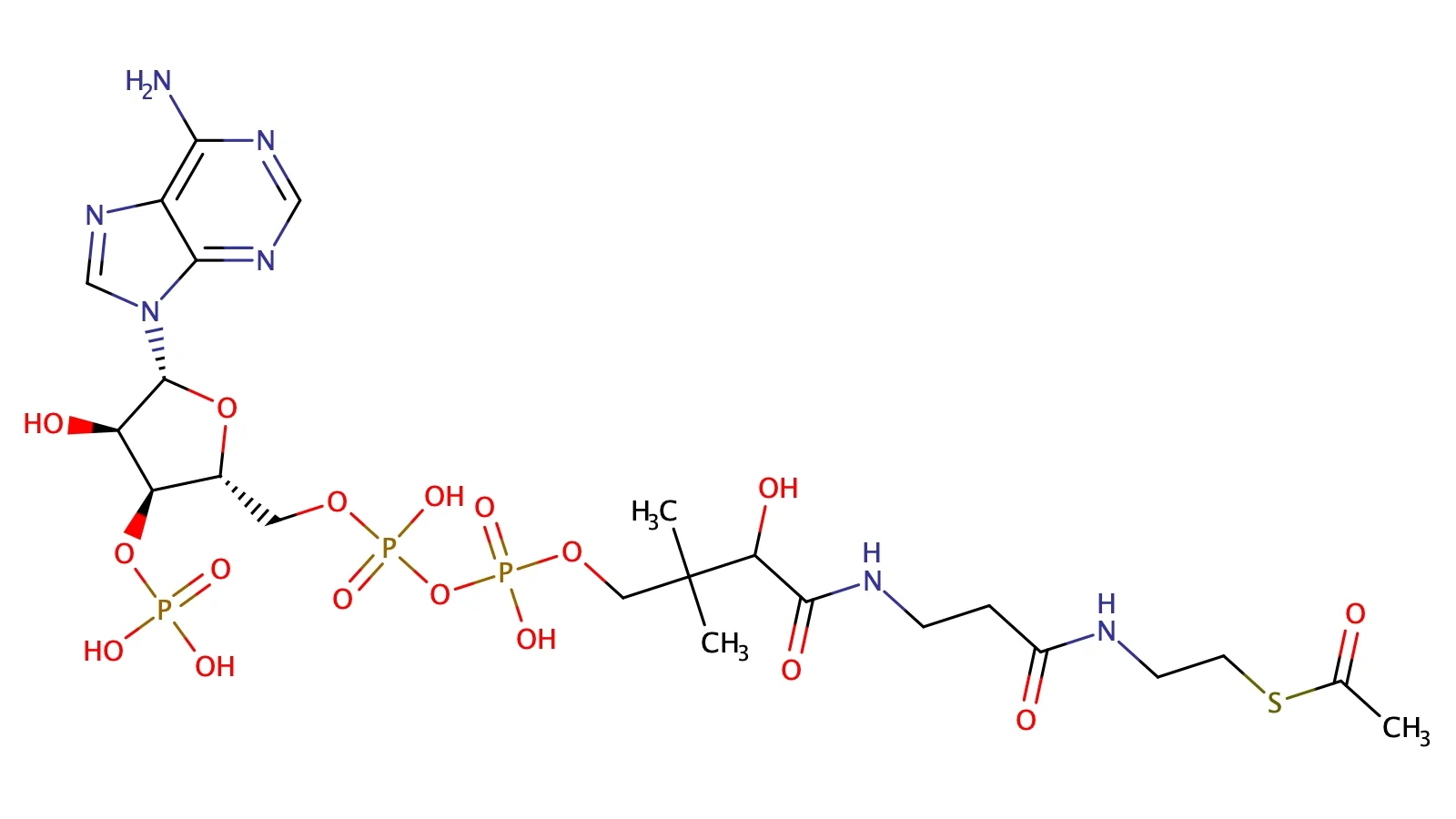
Acetyl-Coenzyme A

Product information "Acetyl-Coenzyme A"

Available in different salt formats, like Lithium Salt, on request.
Properties "Acetyl-Coenzyme A"
CAS: 72-89-9
Formel: C23H38N7O17P3S
MCC: MCC6943
Mol Gewicht: 809,57